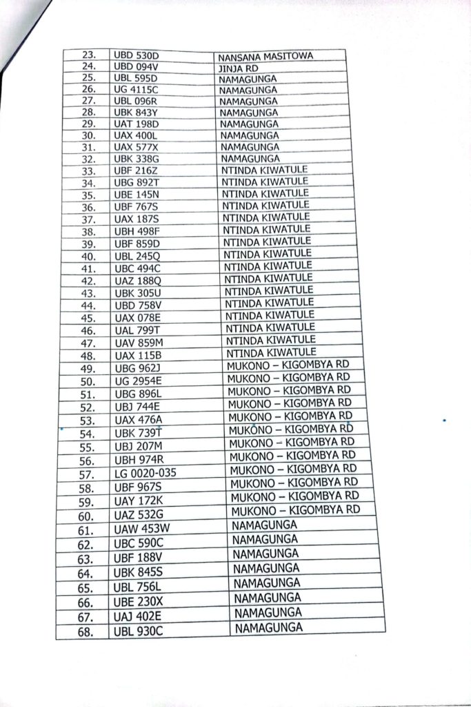
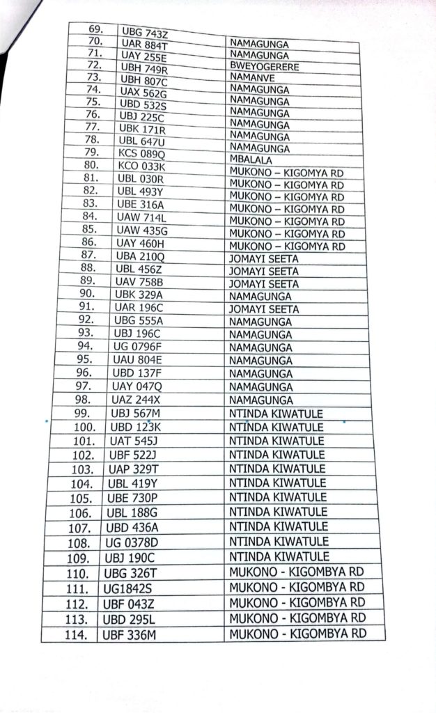
The Traffic police will start releasing a list of road users who violate the traffic rules every week.
Traffic police spokesperson Faridah Nampiima on Monday said with the help of cameras on the roads, every week they will be releasing a list of traffic violators, plus the place of the offence as a mechanism of naming and shaming.
“The disregard for the rules of the road has increased. Driving without proper caution includes; driving beyond the prescribed speed, failure to use signals, disobeying traffic signs, drafting into another lane, and using handheld mobile phones while driving,” she said.
She urged those named to report to the nearest police station and pick up their Electronic Penalty System (EPS) tickets for the various offences.
“Using our cameras, the following violated traffic laws and regulations in various locations and they have been charged accordingly you are advised to report to the nearest police station and pick up your EPS tickets for the various offences,” Nampiima said.
The full list below:











